4  Introduction to git and GitHub

Learning Objectives

  • Set global options in your .gitconfig file
  • Practice how to set up GitHub Authentication using a Personal Access Token (PAT)

4.1 Set up global options in Git

Before using Git, you need to tell it who you are, also known as setting the global options. You can do this either on the terminal using git command or in the console using the R package usethis. For this lesson we will use the usethis package. However, you can also find the git commands to reference in the future.

CautionWhat’s the Terminal?

Technically, the Terminal is an interface for the shell, a computer program. To put that simply, we use the Terminal to tell a computer what to do. This is different from the Console in RStudio, which interprets R code and returns a value.

You can access the terminal through RStudio by clicking Tools > Terminal > New Terminal.

A Terminal tab should now be open right next to the Console tab.

CautionDon’t be afraid to dip your toes in the Terminal

Most of our Git operations will be done in RStudio, but there are some situations where you must work in the Terminal and use command line. It may be daunting to code in the Terminal, but as your comfort increases over time, you might find you prefer it. Either way, it’s beneficial to learn enough command line and to feel comfortable in the Terminal.

To introduce ourselves to git we are going to use the function usethis::use_git_config(), followed by usethis::git_default_branch_configure(). This will update our global options with our GitHub user name and email information.

Below you will find code to do this in the console using functions from the usethis package and the terminal using git commands.

Make sure to type your exact GitHub username and email associated to your GitHub account.

Step 1: set the user’s global user.name and user.email and define integrate changes from one branch into another branch for all repositories.

Answer
1usethis::use_git_config(user.name = "my_user_name",
2                        user.email = "my_email@nceas.ucsb.edu",
3                        pull.rebase = "false")
1
Add you exact same GitHub user name. Case and spelling matters!
2
Set up your email address associated to you GitHub account.
3
Setting “merge” as the default strategy to integrate changes from one branch into another branch (for all repos). Check the note at the end of this chapter for more details.

Step 2: define the name of the branch that gets created when you make the first commit in a new Git repo

Answer
usethis::git_default_branch_configure(name = "main")

Step 3: check to make sure everything looks correct

Answer
usethis::git_sitrep()

Step 1: set the user’s global user.name and user.email and define merge strategy for all repositories.

git config --global user.name "my_user_name"

Press enter/return.

Note that if the code ran successfully, it will look like nothing happened. We will check at the end to make sure it worked.

Then run:

git config --global user.email "my_email@nceas.ucsb.edu"

Press enter/return.

Then run:

git config --global pull.rebase false

Step 2: define the name of the branch that gets created when you make the first commit in a new Git repo.

git config --global init.defaultBranch main

Step 3: check to make sure everything looks correct.

The following command return the global options you have set.

git config --global --list


ImportantCase and spelling matters!

When you add your username and email to the global options you must use the exact same spelling and case that you used on GitHub otherwise, Git won’t be able to sync to your account.

ImportantWhy set the default branch name to main?

Previously, the default branch name was master and this racist terminology for Git branches motivates us to update our default branch to main instead.

Set a long timeout for the git cache

Finally, we will run a step that is only necessary when working on a server. We need to set our credentials to not time out for a very long time. This is related to how our server operating system handles credentials - not doing this will make your Personal Access Token (PAT, which we will set up in the next section) expire after 15 min on the system, even though it is actually valid for at least a month. We will do this configuration in the terminal.

You can access the terminal through RStudio by clicking Tools > Terminal > New Terminal.

CautionTHIS ONLY NEEDS TO BE RUN ON THE SERVER

DO NOT RUN THE NEXT LINE when setting up Git and GitHub on your Personal Computer

By running the following command we are asking git to store our credential information in the cache for 10 million seconds (almost 4 months).

git config --global credential.helper 'cache --timeout=10000000'

4.2 GitHub Authentication

GitHub recently deprecated password authentication for accessing repositories, so we need to set up a secure way to authenticate.

The book Happy Git and GitHub for the useR has a wealth of information related to working with Git in R, and these instructions are based off of Chapter 9 Personal access token for HTTPS.

We will be using a Personal Access Token (PAT) in this course. For better security and long term use, we recommend taking the extra steps to set up SSH keys (check out Chapter 10 Set up Keys for SSH).

TipSetting up your PAT
  1. Run usethis::create_github_token() in the Console.
  2. A new browser window should open up to GitHub, showing all the scopes options. You can review the scopes, but you don’t need to worry about which ones to select this time. The previous function automatically pre-selects some recommended scopes. Go ahead and scroll to the bottom and click “Generate Token”.
  3. Copy the generated token.
  4. Back in RStudio, run gitcreds::gitcreds_set() in the Console.
  5. Paste your PAT when the prompt asks for it.
  6. Last thing, run usethis::git_sitrep() in the Console to check your Git configuration and that you’ve successful stored your PAT. Note: look for Personal access token for 'https://github.com': '<discovered>'

If you see <unset> instead of <discovered> means your PAT is not correctly set. You need to troubleshoot.

Congrats! Now you’ve setup your authentication you should be able to work with GitHub in RStudio now.

4.3 Strategy to integrate changes from one branch into another

Above we configured our global options for all the repositories you create in your server session to use pull.rebase = "false" as the strategy to integrate changes from two branches. With this we are saying to merge changes (as opposed to rebasing).

It is important to highlight that this configuration can be repo specific. This mean, you can configure how you want git to reconciling two branches at a repository level and not “for all repositories”. Allowing you to control on how git weaves things in when collaborating with others.

If you don’t define pull.rebase = "false" when setting the global configurations, you will have to define this for each repository you create. You will likely see the following message after you pull, meaning you have not define how to reconciling two branches in your repository.

To solve this issues you have to run either of the two suggested strategies on the terminal.

git config pull.rebase false

or

git config pull.rebase true

Learning Objectives

  • Apply the principles of Git to track and manage changes of a project
  • Utilize the Git workflow including pulling changes, staging modified files, committing changes, pulling again to incorporate remote changes, and pushing changes to a remote repository
  • Create and configure Git repositories using different workflows

4.4 Introduction to Version Control

Every file in the scientific process changes. Manuscripts are edited. Figures get revised. Code gets fixed when bugs are discovered. Sometimes those fixes lead to even more bugs, leading to more changes in the code base. Data files get combined together. Sometimes those same files are split and combined again. In just one research project, we can expect thousands of changes to occur.

These changes are important to track, and yet, we often use simplistic file names to do so. Many of us have experienced renaming a document or script multiple times with the disingenuous addition of “final” to the file name (like the comic above demonstrates).

You might think there is a better way, and you’d be right: version control. Version control provides an organized and transparent way to track changes in code and additional files. This practice was designed for software development, but is easily applicable to scientific programming.

There are many benefits to using a version control software including:

  • Maintain a history of your research project’s development while keeping your workspace clean
  • Facilitate collaboration and transparency when working on teams
  • Explore bugs or new features without disrupting your team members’ work
  • and more!

The version control system we’ll be diving into is Git, the most widely used modern version control system in the world.

4.5 Introduction to Git + GitHub

Before diving into the details of Git and how to use it, let’s start with a motivating example that’s representative of the types of problems Git can help us solve.

4.5.1 A Motivating Example

Say, for example, you’re working on an analysis in R and you’ve got it into a state you’re pretty happy with. We’ll call this version 1:

You come into the office the following day and you have an email from your boss, “Hey, you know what this model needs?”

You’re not entirely sure what she means but you figure there’s only one thing she could be talking about: more cowbell. So you add it to the model in order to really explore the space.

But you’re worried about losing track of the old model so, instead of editing the code in place, you comment out the old code and put as serious a warning as you can muster in a comment above it.

Commenting out code you don’t want to lose is something probably all of us have done at one point or another but it’s really hard to understand why you did this when you come back years later or you when you send your script to a colleague. Luckily, there’s a better way: Version control. Instead of commenting out the old code, we can change the code in place and tell Git to commit our change. So now we have two distinct versions of our analysis and we can always see what the previous version(s) look like.

You may have noticed something else in the diagram above: Not only can we save a new version of our analysis, we can also write as much text as we like about the change in the commit message. In addition to the commit message, Git also tracks who, when, and where the change was made.

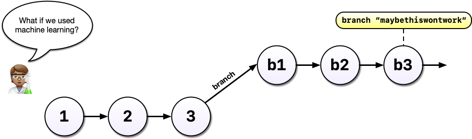
Imagine that some time has gone by and you’ve committed a third version of your analysis, version 3, and a colleague emails with an idea: What if you used machine learning instead?

Maybe you’re not so sure the idea will work out and this is where a tool like Git shines. Without a tool like Git, we might copy analysis.R to another file called analysis-ml.R which might end up having mostly the same code except for a few lines. This isn’t particularly problematic until you want to make a change to a bit of shared code and now you have to make changes in two files, if you even remember to.

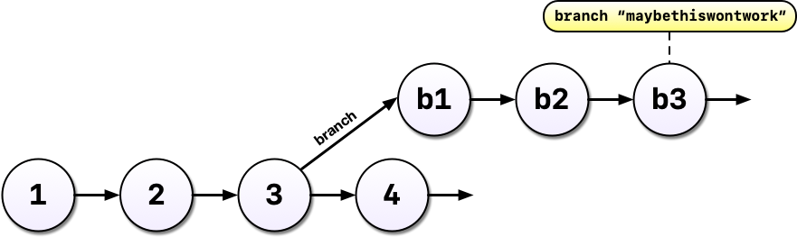
Instead, with Git, we can start a branch. Branches allow us to confidently experiment on our code, all while leaving the old code intact and recoverable.

So you’ve been working in a branch and have made a few commits on it and your boss emails again asking you to update the model in some way. If you weren’t using a tool like Git, you might panic at this point because you’ve rewritten much of your analysis to use a different method but your boss wants change to the old method.

But with Git and branches, we can continue developing our main analysis at the same time as we are working on any experimental branches. Branches are great for experiments but also great for organizing your work generally.

After all that hard work on the machine learning experiment, you and your colleague could decide to scrap it. It’s perfectly fine to leave branches around and switch back to the main line of development but we can also delete them to tidy up.

If, instead, you and your colleague had decided you liked the machine learning experiment, you could also merge the branch with your main development line. Merging branches is analogous to accepting a change in Word’s Track Changes feature but way more powerful and useful.

A key takeaway here is that Git can drastically increase your confidence and willingness to make changes to your code and help you avoid problems down the road. Analysis rarely follows a linear path and we need a tool that respects this.

Finally, imagine that, years later, your colleague asks you to make sure the model you reported in a paper you published together was actually the one you used. Another really powerful feature of Git is tags which allow us to record a particular state of our analysis with a meaningful name. In this case, we are lucky because we tagged the version of our code we used to run the analysis. Even if we continued to develop beyond commit 5 (above) after we submitted our manuscript, we can always go back and run the analysis as it was in the past.

With Git we can enhance our workflow:

  • Eliminate the need for cryptic filenames and comments to track our work.
  • Provide detailed descriptions of our changes through commits, making it easier to understand the reasons behind code modifications.
  • Work on multiple branches simultaneously, allowing for parallel development, and optionally merge them together.
  • Use commits to access and even execute older versions of our code.
  • Assign meaningful tags to specific versions of our code.
  • Additionally, Git offers a powerful distributed feature. Multiple individuals can work on the same analysis concurrently on their own computers, with the ability to merge everyone’s changes together.

4.5.2 What exactly are Git and GitHub?

Git:

  • an open-source distributed version control software
  • designed to manage the versioning and tracking of source code files and project history
  • operates locally on your computer, allowing you to create repositories, and track changes
  • provides features such as committing changes, branching and merging code, reverting to previous versions, and managing project history
  • works directly with the files on your computer and does not require a network connection to perform most operations
  • primarily used through the command-line interface (CLI, e.g. Terminal), but also has various GUI tools available (e.g. RStudio IDE)

GitHub:

  • online platform and service built around Git
  • provides a centralized hosting platform for Git repositories
  • allows us to store, manage, and collaborate on their Git repositories in the cloud
  • offers additional features on top of Git, such as a web-based interface, issue tracking, project management tools, pull requests, code review, and collaboration features
  • enables easy sharing of code with others, facilitating collaboration and contribution to open source projects
  • provides a social aspect, allowing users to follow projects, star repositories, and discover new code

4.5.3 Understanding how local working files, Git, and GitHub all work together

It can be a bit daunting to understand all the moving parts of the Git / GitHub life cycle (i.e. how file changes are tracked locally within repositories, then stored for safe-keeping and collaboration on remote repositories, then brought back down to a local machine(s) for continued development). It gets easier with practice, but we’ll explain (first in words, then with an illustration) at a high-level how things work:

4.5.3.1 What is the difference between a “normal” folder vs. a Git repository

Whether you’re a Mac or a PC user, you’ll likely have created a folder at some point in time for organizing files. Let’s pretend that we create a folder, called myFolder/, and add two files: myData.csv and myAnalysis.R. The contents of this folder are not currently version controlled – meaning, for example, that if we make some changes to myAnalysis.R that don’t quite work out, we have no way of accessing or reverting back to a previous version of myAnalysis.R (without remembering/rewriting things, of course).

Git allows you to turn any “normal” folder, like myFolder/, into a Git repository – you’ll often see/hear this referenced as “initializing a Git repository”. When you initialize a folder on your local computer as a Git repository, a hidden .git/ folder is created within that folder (e.g. myFolder/.git/) – this .git/ folder is the Git repository. As you use Git commands to capture versions or “snapshots” of your work, those versions (and their associated metadata) get stored within the .git/ folder. This allows you to access and/or recover any previous versions of your work. If you delete .git/, you delete your project’s history.

Here is our example folder / Git repository represented visually:



4.5.3.2 How do I actually tell Git to preserve versions of my local working files?

Git was built as a command-line tool, meaning we can use Git commands in the command line (e.g. Terminal, Git Bash, etc.) to take “snapshots” of our local working files through time. Alternatively, RStudio provides buttons that help to easily execute these Git commands.

Generally, that workflow looks something like this:

  • Make changes to a file(s) (e.g. myAnalysis.R) in your working directory.
  • Stage the file(s) using git add myAnalysis.R (or git add . to stage multiple changed files at once). This lets Git know that you’d like to include the file(s) in your next commit.
  • Commit the file(s) using git commit -m "a message describing my changes". This records those changes (along with a descriptive message) as a “snapshot” or version in the local repository (i.e. the .git/ folder).

4.5.3.3 My versioned work is on my local computer, but I want to send it to GitHub. How?

The last step is synchronizing the changes made to our local repository with a remote repository (oftentimes, this remote repository is stored on GitHub). The git push command is used to send local commits up to a remote repository. The git pull command is used to fetch changes from a remote repository and merge them into the local repository – pulling will become a regular part of your workflow when collaborating with others, or even when working alone but on different machines (e.g. a laptop at home and a desktop at the office).

The processes described in the above sections (i.e. making changes to local working files, recording “snapshots” of them to create a versioned history of changes in a local Git repository, and sending those versions from our local Git repository to a remote repository (which is oftentimes on GitHub)) is illustrated using islands, buildings, bunnies, and packages in the artwork, below:

A basic git workflow represented as two islands, one with “local repo” and “working directory”, and another with “remote repo.” Bunnies move file boxes from the working directory to the staging area, then with Commit move them to the local repo. Bunnies in rowboats move changes from the local repo to the remote repo (labeled “PUSH”) and from the remote repo to the working directory (labeled “PULL”).

Artwork by Allison Horst

4.5.4 Let’s Look at a GitHub Repository

This screen shows the copy of a repository stored on GitHub, with its list of files, when the files and directories were last modified, and some information on who made the most recent changes.

If we drill into the “commits” for the repository, we can see the history of changes made to all of the files. Looks like kellijohnson was working on the project and fixing errors in December:

And finally, if we drill into one of the changes made on December 20, we can see exactly what was changed in each file:

Tracking these changes, how they relate to released versions of software and files is exactly what Git and GitHub are good for. And we will show how they can really be effective for tracking versions of scientific code, figures, and manuscripts to accomplish a reproducible workflow.

4.5.5 Git Vocabulary & Commands

We know the world of Git and GitHub can be daunting. Use these tables as references while you use Git and GitHub, and we encourage you to build upon this list as you become more comfortable with these tools.

This table contains essential terms and commands that complement intro to Git skills. They will get you far on personal and individual projects.

Essential Git Commands
Term Git Command(s) Definition
Add/Stage git add [file] Staging marks a modified file in its current version to go into your next commit snapshot. You can also stage all modified files at the same time using git add .
Commit git commit Records changes to the repository.
Commit Message git commit -m "my commit message" Records changes to the repository and include a descriptive message (you should always include a commit message!).
Fetch git fetch Retrieves changes from a remote repository but does not merge them into your local working file(s).
Pull git pull Retrieves changes from a remote repository and merges them into your local working file(s).
Push git push Sends local commits to a remote repository.
Status git status Shows the current status of the repository, including (un)staged files and branch information.

This table includes more advanced Git terms and commands that are commonly used in both individual and collaborative projects.

Advanced Git Commands
Term Git Command(s) Definition
Branch git branch Lists existing branches or creates a new branch.
Checkout git checkout [branch] Switches to a different branch or restores files from a specific commit.
Clone git clone [repository] Creates a local copy of a remote repository.
Diff git diff Shows differences between files, commits, or branches.
Fork - Creates a personal copy of a repository under your GitHub account for independent development.
Log git log Displays the commit history of the repository.
Merge git merge [branch] Integrates changes from one branch into another branch.
Merge Conflict - Occurs when Git cannot automatically merge changes from different branches, requiring manual resolution.
Pull Request (PR) - A request to merge changes from a branch into another branch, typically in a collaborative project.
Rebase git rebase Integrates changes from one branch onto another by modifying commit history.
Remote git remote Manages remote repositories linked to the local repository.
Repository git init A directory where Git tracks and manages files and their versions.
Stash git stash Temporarily saves changes that are not ready to be committed.
Tag git tag Assigns a label or tag to a specific commit.

Git has a rich set of commands and features, and there are many more terms beyond either table. Learn more by visiting the git documentation.

4.6 Exercise 1: Create a remote repository on GitHub

TipSetup
  1. Login to GitHub
  2. Click the New repository button
  3. Name it {FIRSTNAME}_test
  4. Add a short description
  5. Check the box to add a README.md file
  6. Add a .gitignore file using the R template
  7. Set the LICENSE to Apache 2.0

If you were successful, it should look something like this:



You’ve now created your first repository! It has a couple of files that GitHub created for you: README.md, LICENSE, and .gitignore.

NoteREADME.md files are used to share important information about your repository

You should always add a README.md to the root directory of your repository – it is a markdown file that is rendered as HTML and displayed on the landing page of your repository. This is a common place to include any pertinent information about what your repository contains, how to use it, etc.


For simple changes to text files, such as the README.md, you can make edits directly in the GitHub web interface.

NoteChallenge

Navigate to the README.md file in the file listing, and edit it by clicking on the pencil icon (top right of file). This is a regular Markdown file, so you can add markdown text. Add a new level-2 header called “Purpose” and add some bullet points describing the purpose of the repo. When done, add a commit message, and hit the Commit changes button.



Congratulations, you’ve now authored your first versioned commit! If you navigate back to the GitHub page for the repository, you’ll see your commit listed there, as well as the rendered README.md file.



The GitHub repository landing page provides us with lots of useful information. To start, we see:

  • all of the files in the remote repository
  • when each file was last edited
  • the commit message that was included with each file’s most recent commit (which is why it’s important to write good, descriptive commit messages!)

Additionally, the header above the file listing shows the most recent commit, along with its commit message, and a unique ID (assigned by Git) called a SHA. The SHA (aka hash) identifies the specific changes made, when they were made, and by who. If you click on the SHA, it will display the set of changes made in that particular commit.

CautionWhat should I write in my commit message?

Writing effective Git commit messages is essential for creating a meaningful and helpful version history in your repository. It is crucial to avoid skipping commit messages or resorting to generic phrases like “Updates.” When it comes to following best practices, there are several guidelines to enhance the readability and maintainability of the codebase.

Here are some guidelines for writing effective Git commit messages:

  1. Be descriptive and concise: Provide a clear and concise summary of the changes made in the commit. Aim to convey the purpose and impact of the commit in a few words.

  2. Use imperative tense: Write commit messages in the imperative tense, as if giving a command. For example, use “Add feature” instead of “Added feature” or “Adding feature.” This convention aligns with other Git commands and makes the messages more actionable.

  3. Separate subject and body: Start with a subject line, followed by a blank line, and then provide a more detailed explanation in the body if necessary. The subject line should be a short, one-line summary, while the body can provide additional context, motivation, or details about the changes.

  4. Limit the subject line length: Keep the subject line within 50 characters or less. This ensures that the commit messages are easily scannable and fit well in tools like Git logs.

  5. Capitalize and punctuate properly: Begin the subject line with a capital letter and use proper punctuation. This adds clarity and consistency to the commit messages.

  6. Focus on the “what” and “why”: Explain what changes were made and why they were made. Understanding the motivation behind a commit helps future researchers and collaborators (including you!) comprehend its purpose.

  7. Use present tense for subject, past tense for body: Write the subject line in present tense as it represents the current state of the codebase. Use past tense in the body to describe what has been done.

  8. Reference relevant issues: If the commit is related to a specific issue or task, include a reference to it. For example, you can mention the issue number or use keywords like “Fixes,” “Closes,” or “Resolves” followed by the issue number.

4.7 Exercise 2: clone your repository and use Git locally in RStudio

Currently, our repository just exists on GitHub as a remote repository. It’s easy enough to make changes to things like our README.md file (as demonstrated above), from the web browser, but that becomes a lot harder (and discouraged) for scripts and other code files. In this exercise, we’ll bring a copy of this remote repository down to our local computer (aka clone this repository) so that we can work comfortably in RStudio.

ImportantAn important distinction

We refer to the remote copy of the repository that is on GitHub as the origin repository (the one that we cloned from), and the copy on our local computer as the local repository.

Start by clicking the green Code button (top right of your file listing) and copying the URL to your clipboard (this URL represents the repository location):

RStudio makes working with Git and version controlled files easy – to do so, you’ll need to be working within an R project folder. The following steps will look similar to those you followed when first creating an R Project, with a slight difference. Follow the instructions in the Setup box below to clone your remote repository to your local computer in RStudio:

TipSetup
  • Click File > New Project
  • Select Version Control and paste the remote repository URL (which should be copied to your clipboard) in the Repository URL field
  • Press Tab, which will auto-fill the Project directory name field with the same name as that of your remote repo – while you can name the local copy of the repository anything, it’s typical (and highly recommended) to use the same name as the GitHub repository to maintain the correspondence

Once you click Create Project, a new RStudio window will open with all of the files from the remote repository copied locally. Depending on how your version of RStudio is configured, the location and size of the panes may differ, but they should all be present – you should see a Git tab, as well as the Files tab, where you can view all of the files copied from the remote repo to this local repo.

You’ll note that there is one new file sam_test.Rproj, and three files that we created earlier on GitHub (.gitignore, LICENSE, and README.md).

In the Git tab, you’ll note that the one new file, sam_test.Rproj, is listed. This Git tab is the status pane that shows the current modification status of all of the files in the repository. Here, we see sam_test.Rproj is preceded by a ?? symbol to indicate that the file is currently untracked by Git. This means that we have not yet committed this file using Git (i.e. Git knows nothing about the file; hang tight, we’ll commit this file soon so that it’s tracked by Git). As you make version control decisions in RStudio, these icons will change to reflect the current version status of each of the files.

Inspect the history. Click on the History button in the Git tab to show the log of changes that have occurred – these changes will be identical to what we viewed on GitHub. By clicking on each row of the history, you can see exactly what was added and changed in each of the two commits in this repository.

NoteChallenge
  1. Make a change to the README.md file – this time from RStudio – then commit the README.md change
  2. Add a new section to your README.md called “Creator” using a level-2 header. Under it include some information about yourself. Bonus: Add some contact information and link your email using Markdown syntax.

Once you save, you’ll immediately see the README.md file show up in the Git tab, marked as a modification. Select the file in the Git tab, and click Diff to see the changes that you saved (but which are not yet committed to your local repository). Newly made changes are highlighted in green.

Commit the changes. To commit the changes you made to the README.md file using RStudio’s GUI (Graphical User Interface), rather than the command line:

  1. Stage (aka add) README.md by clicking the check box next to the file name – this tells Git which changes you want included in the commit and is analogous to using the git command, git add README.md, in the command line
  2. Commit README.md by clicking the Commit button and providing a descriptive commit message in the dialog box. Press the Commit button once you’re satisfied with your message. This is analogous to using the git command, git commit -m "my commit message", in the command line.

A few notes about our local repository’s state:

  • We still have a file, sam_test.Rproj, that is listed as untracked (denoted by ?? in the Git tab).
  • You should see a message at the top of the Git tab that says, Your branch is ahead of ‘origin/main’ by 1 commit., which tells us that we have 1 commit in the local repository, but that commit has not yet been pushed up to the origin repository (aka remote repository on GitHub).

Commit the remaining project file by staging/adding and committing it with an informative commit message.

When finished, you’ll see that no changes remain in the Git tab, and the repository is clean.

Inspect the history. Note that under Changes, the message now says:

Your branch is ahead of ‘origin/main’ by 2 commits.

These are the two commits that we just made, but have not yet been pushed to GitHub.

Click on the History button to see a total of four commits in the local repository (the two we made directly to GitHub via the web browser and the two we made in RStudio).

Push these changes to GitHub. Now that we’ve made and committed changes locally, we can push those changes to GitHub using the Push button. This sends your changes to the remote repository (on GitHub) leaving your repository in a totally clean and synchronized state (meaning your local repository and remote repository should look the same).

NoteIf you are prompted to provide your GitHub username and password when Pushing…

it’s a good indicator that you did not set your GitHub Personal Access Token (PAT) correctly. You can redo the steps outlined in the GitHub Authentication section to (re)set your PAT, then Push again.

<––>

If you look at the History pane again, you’ll notice that the labels next to the most recent commit indicate that both the local repository (HEAD) and the remote repository (origin/HEAD) are pointing at the same version in the history. If we look at the commit history on GitHub, all the commits will be shown there as well.

4.7.1 Defining Merge Method

CautionSome Git configuration to surpress warning messages

Git version 2.27 includes a new feature that allows users to specify the default method for integrating changes from a remote repository into a local repository, without receiving a warning (this warning is informative, but can get annoying). To suppress this warning for this repository only we need to configure Git by running this line of code in the Terminal:

Answer
git config pull.rebase false

pull.rebase false is a default strategy for pulling where Git will first try to auto-merge the files. If auto-merging is not possible, it will indicate a merge conflict (more on resolving merge conflicts in Collaborating with Git and GitHub).

Note: Unlike when we first configured Git, we do not include the --global flag here (e.g. git config --global pull.rebase false). This sets this default strategy for this repository only (rather than globally for all your repositories). We do this because your chosen/default method of grabbing changes from a remote repository (e.g. pulling vs. rebasing) may change depending on collaborator/workflow preference.

4.8 Exercise 3: Setting up Git on an existing project

There are a number of different workflows for creating version-controlled repositories that are stored on GitHub. We started with Exercise 1 and Exercise 2 using one common approach: creating a remote repository on GitHub first, then cloning that repository to your local computer (you used your {FIRSTNAME}_test repo).

However, you may find yourself in the situation where you have an existing directory (i.e. a “normal” folder) of code that you want to make a Git repository out of, and then send it to GitHub. In this last exercise, we will practice this workflow using your training_{USERNAME} project.

First, switch to your training_{USERNAME} project using the RStudio project dropdown menu. The project drop down menu is in the upper right corner of your RStudio pane. Click the drop down next to your project name ({FIRSTNAME}_test), and then select the training_{USERNAME} project from the RECENT PROJECTS list.

There are a few approaches for turning an existing project folder into a Git repository, then sending it to GitHub – if you’re an R-user, the simplest way is to use the {usethis} package, which is built to automate tasks involved with project setup and development. However, you can also initialize a local git repository and set the remote repository from the command line (a language-agnostic workflow). Steps for both approaches are included below (demonstrated using your training_{USERNAME} project):

  1. Install the {usethis} package (if you haven’t done so already) by running the following in your Console:
Answer
install.packages("usethis")
  1. Initialize training_{USERNAME} as a Git repository by running usethis::use_git() in the Console. Choose yes when asked if it’s okay to commit any uncommitted files. Choose yes again if asked to restart R. Once complete, you should see the Git tab appear in your top left pane in RStudio and a .gitignore file appear in your Files tab.

Note.gitignore files allow you to specify which files/folders you don’t want Git to track

A .gitignore file is automatically created in the root directory of your project when you initialize it as a Git repository. You’ll notice that there are already some R / R Project-specific files that have been added by default.

Why is this useful? For many reasons, but possibly the greatest use-case is adding large files (GitHub has a file size limit of 2 GB) or files with sensitive information (e.g. keys, tokens) that you don’t want to accidentally push to GitHub.

How do I do this? Let’s say I create a file with sensitive information that I don’t want to push to GitHub. I can add a line to my .gitignore file:

Answer
# added by default when I initalized my RProj as a Git Repository
.Rproj.user
.Rhistory
.Rdata
.httr-oauth
.DS_Store
.quarto

# add file so that it doesn't get pushed to the remote repo (on GitHub); 
contains_sensitive_info.R

If this file is currently untracked by Git, it should appear in my Git tab. Once I add it to the .gitignore and save the modified .gitignore file, you should see contains_sensitive_info.R disappear from the Git tab, and a modified .gitignore (denoted by a blue M) appear. Stage/commit/push this modified .gitignore file.

  1. Create an upstream remote repository on GitHub by running usethis::use_github() in the Console. Your web browser should open up to your new GitHub repository, with the same name as your local Git repo/R Project.

  1. Ensure that your default branch is named main rather than master by:

    1. running git branch in the Terminal to list all your branches (you should currently only have one, which is your default)
    2. if it’s named master, run the following line in the Console to update it
Answer
usethis::git_default_branch_rename(from = "master", to = "main")

You can verify that your update worked by running git branch once more in the Terminal.

NoteWhy are we doing this?

The racist “master” terminology for git branches motivates us to update our default branch to “main” instead.

There is a push across platforms and software to update this historical default branch name from master to main. GitHub has already done so – you may have noticed that creating a remote repository first (like we did in Exercises 1 & 2) results in a default branch named main. Depending on your version of Git, however, you may need to set update the name manually when creating a local git repository first (as we’re doing here).

  1. You’re now ready to edit, stage/add, commit, and push files to GitHub as practiced earlier!
CautionChallenge: add a README.md file to training_{USERNAME}

GitHub provides a button on your repo’s landing page for quickly adding a README.md file. Click the Add a README button and use markdown syntax to create a README.md. Commit the changes to your repository.

Go to your local repository (in RStudio) and pull the changes you made.

While we’ll be using the RStudio Terminal here, you can use any command-line interface (e.g. Mac Terminal, Git Bash, etc.) that allows for git interactions (if you plan to use a command-line interface that is not the RStudio Terminal, make sure to navigate to your project directory (e.g. using cd file/path/to/project/directory) before initializing your repository.

  1. Initialize training_{USERNAME} as a Git repository by running git init in the Terminal. You should get a message that says something like:
Answer
Initialized empty Git repository in /home/username/training_username/.git/
ImportantYou may have to quit and reopen your RStudio session on the server for the Git tab to appear

You’ll likely need to help included-crab along in recognizing that this R Project has been initialized as a git repository – click Session > Quit Session… > New Session > choose training_{USERNAME} to reopen your project.

Once complete, you should see the Git tab appear in your top left pane in RStudio and a .gitignore file appear in your Files tab.

Note.gitignore files allow you to specify which files/folders you don’t want Git to track

A .gitignore file is automatically created in the root directory of your project when you initialize it as a Git repository. You’ll notice that there are already some R / R Project-specific files that have been added by default.

Why is this useful? For many reasons, but possibly the greatest use-case is adding large files (GitHub has a file size limit of 2 GB) or files with sensitive information (e.g. keys, tokens) that you don’t want to accidentally push to GitHub.

How do I do this? Let’s say I create a file with sensitive information that I don’t want to push to GitHub. I can add a line to my .gitignore file:

Answer
# added by default when I initalized my RProj as a Git Repository
.Rproj.user
.Rhistory
.Rdata
.httr-oauth
.DS_Store
.quarto

# add file so that it doesn't get pushed to the remote repo (on GitHub); 
contains_sensitive_info.R

If this file is currently untracked by Git, it should appear in my Git tab. Once I add it to the .gitignore and save the modified .gitignore file, you should see contains_sensitive_info.R disappear from the Git tab, and a modified .gitignore (denoted by a blue M) appear. Stage/commit/push this modified .gitignore file.

  1. Ensure that your default branch is named main rather than master by:

    1. running git branch in the Terminal to list all your branches (you should currently only have one, which is your default)
    2. if it’s named master, run the following line in the Terminal to update it
Answer
# for Git version 2.28+ (check by running `git --version`)
# this sets the default branch name to `main` for any new repos moving forward
git config --global init.defaultBranch main

# for older versions of Git
# this sets the default branch name to `main` ONLY for this repo 
git branch -m master main

You can verify that your update worked by running git branch once more in the Terminal.

NoteWhy are we doing this?

The racist “master” terminology for git branches motivates us to update our default branch to “main” instead.

There is a push across platforms and software to update this historical default branch name from master to main. GitHub has already done so – you may have noticed that creating a remote repository first (like we did in Exercises 1 & 2) results in a default branch named main. Depending on your version of Git, however, you may need to set update the name manually when creating a local git repository first (as we’re doing here).

  1. Stage/Add your files. It’s helpful to first run git status to check the state of your local repository (particularly if you aren’t using RStudio / have access to a GUI with a Git tab-esque feature) – this will tell you which files have been modified or are untracked and that are currently unstaged (in red). What appears here should look just like what appears in the Git tab:

Run git add . in the Terminal to stage all files at once (or git add {FILENAME} to stage individual files). Running git status again will show you which files have been staged (in green). You may have to refresh your Git tab to see the change in state reflected in the GUI.

  1. Commit your files by running git commit -m "an informative commit message" in the Terminal. Refreshing your Git tab will cause them to disappear (just as they do when you commit using RStudio’s GUI buttons). You can run git log in the Terminal to see a history of your past commits (currently, we only have this one).

  1. Create an empty remote repository by logging into GitHub and creating a new repository, following the same steps as in Exercise 1. IMPORTANTLY, DO NOT initialize your remote repo with a README license, or .gitignore file – doing so now can lead to merge conflicts. We can add them after our local and remote repos are linked. Name your remote repository the same as your local repository (i.e. training_{USERNAME}).

  2. Link your remote (GitHub) repository to your local Git repository. Your empty GitHub repo conveniently includes instructions for doing so. Copy the code under push an existing repository from the command line to your clipboard, paste into your RStudio Terminal, and press return/enter.

These commands do three things:

  • Adds the GitHub repository as the remote repository (i.e. links your local repo to the remote repo)
  • Renames the default branch to main
  • Pushes the main branch to the remote GitHub repository

Head back to your browser and refresh your GitHub repository page to see your files appear!

  1. You’re now ready to edit, stage/add, commit, and push files to GitHub as practiced earlier!
CautionChallenge: add a README.md file to training_{USERNAME}

GitHub provides a button on your repo’s landing page for quickly adding a README.md file. Click the Add a README button and use markdown syntax to create a README.md. Commit the changes to your repository.

Go to your local repository (in RStudio) and pull the changes you made.

4.9 Go further with Git

There’s a lot we haven’t covered in this brief tutorial. There are some great and much longer tutorials that cover advanced topics, such as:

  • Using Git on the command line
  • Resolving conflicts
  • Branching and merging
  • Pull requests versus direct contributions for collaboration
  • Using .gitignore to protect sensitive data
  • GitHub Issues - how to use them for project management and collaboration

and much, much more.

4.10 Git resources